Το χρήμα φέρνει τελικά την ευτυχία σύμφωνα με την επιστήμη
Μία νέα έρευνα βυθίζει το ρητό - ναυαρχίδα της αισιοδοξίας μας.
Η αμήχανη στιγμή που η επιστήμη ανατρέπει την παρηγοριά όσων δε γεννήθηκαν εκατομμυριούχοι. Έρευνα από το αξιόπιστο επίσημο όργανο της Εθνικής Ακαδημίας Επιστημών των Η.Π.Α. καταρρίπτει τα αποτελέσματα προγενέστερων ερευνών: Το χρήμα φέρνει την ευτυχία. Εν ολίγοις, αποδεικνύει ότι υπάρχει θεμελιώδης σχέση ανάμεσα στην ανάπτυξη της ευτυχίας (του τι θεωρούμε ευημερία δηλαδή) με την αύξηση των εσόδων μας.
Στοιχεία και αποτελέσματα
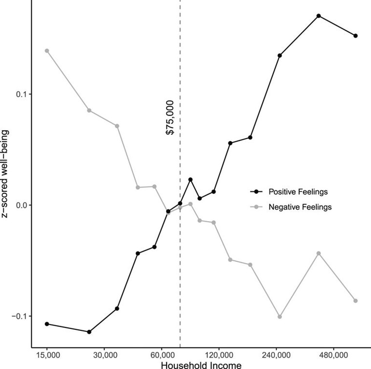
Η εν λόγω μελέτη βασίστηκε σε ένα δείγμα 33.000 ενήλικων συμμετεχόντων και συμπεριλαμβάνει 1,7 εκατ. απαντήσεις σε γκάλοπ, ώστε να βγει το τελικό συμπέρασμα. Μέχρι σήμερα υπήρχε η πεποίθηση ότι αν κάποιος ξεπερνούσε το όριο των 75.000 δολαρίων (περίπου 62.000 ευρώ) ετησίως σε εισόδημα, σταδιακά γινόταν πιο δυστυχής.
Για να καταλήξουν σε αυτό το συμπέρασμα, οι επιστήμονες διακρίνουν δύο είδη ευημερίας: τις άμεσες αισθήσεις των ανθρώπων, που ανιχνεύονται σε ορισμένες περιπτώσεις της καθημερινής τους ζωής (βιώνουν την ευημερία) και την αξιολόγηση των εκ των υστέρων εμπειριών τους, όταν κάνουμε μίνι παύσεις για να αναλογιστούμε το παρελθόν και να κρίνουμε πιο αποστασιοποιημένα τα γεγονότα (αξιολογητική ευημερία).
Λοιπόν, όσα χρήματα κι αν βγάζουμε, όσο αυξάνεται το διαθέσιμο εισόδημα, τα δύο είδη ευημερίας αυξάνονται επίσης. Θα πρέπει βέβαια να έχουμε κατά νου ότι είναι η πρώτη φορά που είναι δυνατή η συλλογή δεδομένων σε πραγματικό χρόνο και σε τόσο μεγάλο βαθμό, χάρη στα κινητά τηλέφωνα. Αυτά χρησιμοποίησαν όσοι συμμετείχαν στην έρευνα, για την ακρίβεια κατέβασαν την εφαρμογή Track Υour Ηappiness.
Το συμπέρασμα
Το γράφημα είναι αρκετά κατατοπιστικό. Όσο τα χρήματα της αμοιβής μας "αβγατίζουν", όχι μόνο τα θετικά μας συναισθήματα πολλαπλασιάζονται, αλλά τουλάχιστον μέχρι το ποσό των 250.000 δολαρίων, τα αρνητικά συναισθήματα ακολουθούν πτωτική πορεία. Προφανώς κανείς δεν πέφτει από τα σύννεφα διαβάζοντας τα αποτελέσματα της έρευνας, η πλειοψηφία το υποψιαζόταν. Τώρα έχουμε και τα επιστημονικά πειστήρια που δείχνουν ότι είχαμε δίκιο: Τα χρήματα από μόνα τους δεν είναι αρκετά, αλλά ναι, βοηθούν πολύ την ψυχολογία μας.
Οι πιο πρόσφατες Ειδήσεις
Διαβάστε πρώτοι τις Ειδήσεις για πολιτικές εξελίξεις, συνεντεύξεις διασήμων, συμβουλές για αντρική μόδα και συνταγές για φαγητό και πότο στο esquire.com.gr
Ο Matthew McConaughey κατοχύρωσε διάσημη ατάκα του για να κάνει χαλάστρα στο AI
Ο οσκαρικός ηθοποιός μπαίνει μπροστά στην επέλαση της τεχνητής νοημοσύνης με μια πρωτοποριακή νομική κίνηση. Το "alright, alright, alright" δεν ανήκει πλέον σε κανέναν άλλον και αυτό μπορεί να αλλάξει τα πάντα για το μέλλον του Χόλιγουντ.
Γιατί οι σύγχρονες συσκευές χαλάνε πιο γρήγορα από τις παλιές;
Το ψυγείο της γιαγιάς δουλεύει ακόμη, ενώ η καινούργια συσκευή μοιάζει "κουρασμένη" μέσα σε λίγα χρόνια. Τι άλλαξε στην ποιότητα, στην παραγωγή και στον τρόπο που χρησιμοποιούμε τα πράγματα στο σπίτι μας;
Γραφει Τιμος ΣαλαμεςΤρεις ερωτήσεις στον εαυτό σου για να δεις αν είσαι ευτυχισμένος, σύμφωνα με τον Bill Gates
Τι σημαίνει πραγματική επιτυχία; Ο Bill Gates αποκαλύπτει τις τρεις απλές ερωτήσεις που τον βοηθούν να κρίνει αν μια ζωή ήταν γεμάτη και ουσιαστική.
Γραφει Τιμος ΣαλαμεςΑυτές τις ερωτήσεις δεν πρέπει να κάνεις σε ένα πρώτο ραντεβού
Ένα πρώτο ραντεβού δεν είναι ανάκριση. Ορισμένες ερωτήσεις, όσο αθώες κι αν φαίνονται, μπορούν να δημιουργήσουν πίεση και αμηχανία πριν καν χτιστεί η σύνδεση.
Γραφει Πωλινα ΦραγκουΑυτά είναι τα 6 πιο ακριβά σπίτια στην Αθήνα
Στο παρελθόν τέτοια ακίνητα συνήθως αποτελούσαν "ελληνική υπόθεση", δηλαδή το αγοραστικό τους κοινό ήταν κατά πλειοψηφία Έλληνες. Σήµερα το µείγµα των αγοραστών είναι πιο σύνθετο.
Γιατί κάποιοι άνθρωποι είναι πιο ευαίσθητοι στον πόνο;
Γιατί κάποιοι άνθρωποι αντιδρούν πιο έντονα στον πόνο από άλλους; Μια νέα γενετική μελέτη ανοίγει ένα απρόσμενο παράθυρο στο παρελθόν και δείχνει πώς αρχαία ίχνη στο DNA μας επηρεάζουν όσα νιώθουμε σήμερα.
Γραφει Τιμος Σαλαμες